Setting | Type | Notes |
|---|---|---|
Which Data Set TO Analyze | Selection | Indicates how the ensemble data set will be specified. Select either “Most Recently Opened” or “Specified by Name”. |
Analysis Data Set Name | Text | If the above selection is 'Specified by Name', then this setting is used to specify the name of the data set. |
How to Filter Slots | Selection | How to filter the analysis data by slot. Options in include All Slots and Include Only Specific Slots |
Slots To Include | Slot Selection | When “Include Only Specific Slots” is selected, this setting defines the slots. |
How to Filter Dates | Selection | How to filter the analysis data by date. Options include All Dates, Include Only Dates In A Specific Range |
Start Date | Datetime | When “Dates in a Specific Range” is selected, this setting defines the start date. See Datetime Information for details. |
End Date | Datetime | When “Dates in a Specific Range” is selected, this setting defines the end date.See Datetime Information for details. |
Allow Start Date Editing | Yes/No | Yes indicates that users should be allowed to override the start date in the Dashboard. |
Allow End Date Editing | Yes/No | Yes indicates that users should be allowed to override the end date in the Dashboard. |
How To Filter Traces | Selection | How to filter the analysis data by traces. Options in include All Traces, Trace Range, and Include Specific Traces. |
First Trace Index | Integer | When “Trace Range” is selected, this setting defines the first trace number of the trace range to be included in the analysis. |
Last Trace Index | Integer | When “Trace Range” is selected, this setting defines the last trace number of the trace range to be included in the analysis. |
Trace Selection | Integer List | When “Include Specific Traces” is selected, this setting defines which traces are included in the analysis. Click in the setting field and open up a trace selector dialog to select which trace numbers should be included. |
How To Handle NaNs | Selection | Options include Ignore NaNs, Error If Any NaNs and Error if All NaNs. |
Analysis Type | Selection | Specify the statistic to compute for the selected ensemble data. Options are: Max, Mean, Median, Min, Percentile, or Sum |
Percentage (0% - 100%) | Number (as a percent) | When Percentile is the Analysis Type, this setting is the percentile. That is, for the trace values with a given slot and date, the percentile the lowest value that is greater than or equal to that of the values. |
Write Results to Simulation Objects | Yes/No | Yes indicates that the results will get written to the same object as the original source slot. The default is Yes in the script editor. |
Write Results to Data Set | Yes/No | Yes indicates that the results will get written to a results ensemble data set object. The default is No in the script editor. |
Results Data Set Name | Text | The name of the results data set object to which the results will get written. If the object does not exist, it will get created. |
Save Results Data Set With Model | Yes/No | If Yes, the object specified in the Results Data Set Name setting will get saved in with the model when the model is saved. If No, the object and its slots and data will not get saved and will no longer be present when the model is reloaded. The default is Yes. This setting could change the object’s current configuration if it already exists. |
Results Data Set Slot Group | Text | Specify the name of the slot group on the results data set object in which the results slots will get added. If the slot group does not already exist, it will get created. |
Results Slot Tag | Text | This text string is added to the results slot name, see below. |
Results Slot Column | Integer | If the results slot is an Agg Series slot and the results slot column value is other than zero, the results are written to that column of the results slot. |
Setting | Type | Notes |
|---|---|---|
Layout Name | Text | Enter the name of the Window Layout. An error in script execution will occur if the specified layout does not exist. |
Setting | Type | Notes |
|---|---|---|
DMI Name | Text | Enter the DMI name or choose the DMI using the menu. |
Setting | Type | Notes |
|---|---|---|
Slots | Slot Selection | Enter or choose one or more scalar slots for which you wish to clear the values. |
Setting | Type | Notes |
|---|---|---|
Slots | Slot Selection | Enter or choose one or more table slots. The values in these slots will be cleared. |
Row | Text | Specify the row as either the row number (zero based) or the row heading |
Column | Text | Specify the column as either the column number (zero based) or column heading |
Setting | Type | Notes |
|---|---|---|
Which Data Set TO Analyze | Selection | Indicates how the ensemble data set will be specified. Select either “Most Recently Opened” or “Specified by Name”. |
Analysis Data Set Name | Text | If the above selection is 'Specified by Name', then this setting is used to specify the name of the data set. |
How to Filter Slots | Selection | How to filter the analysis data by slot. Options in include All Slots and Include Only Specific Slots |
Slots To Include | Slot Selection | When “Include Only Specific Slots” is selected, this setting defines the slots. |
How to Filter Dates | Selection | How to filter the analysis data by date. Options include All Dates, Include Only Dates In A Specific Range |
Start Date | Datetime | When “Dates in a Specific Range” is selected, this setting defines the start date. See Datetime Information for details. |
End Date | Datetime | When “Dates in a Specific Range” is selected, this setting defines the end date.See Datetime Information for details. |
Allow Start Date Editing | Yes/No | Yes indicates that users should be allowed to override the start date in the Dashboard. |
Allow End Date Editing | Yes/No | Yes indicates that users should be allowed to override the end date in the Dashboard. |
How To Filter Traces | Selection | How to filter the analysis data by traces. Options in include All Traces, Trace Range, and Include Specific Traces. |
First Trace Index | Integer | When “Trace Range” is selected, this setting defines the first trace number of the trace range to be included in the analysis. |
Last Trace Index | Integer | When “Trace Range” is selected, this setting defines the last trace number of the trace range to be included in the analysis. |
Trace Selection | Integer List | When “Include Specific Traces” is selected, this setting defines which traces are included in the analysis. Click in the setting field and open up a trace selector dialog to select which trace numbers should be included. |
How to Handle NaNs | Selection | Options include Ignore NaNs, Error If Any NaNs, Error If All NaNs. |
Write Results to Simulation Objects | Yes/No | Yes indicates that the results will get written to the same object as the original source slot. The default is Yes. |
Write Results to Data Set | Yes/No | Yes indicates that the results will get written to a results data set object. The default is No. |
Results Data Set Name | Text | The name of the results data set object to which the results will get written. If the object does not exist, it will get created. |
Save Results Data Set With Model | Yes/No | If Yes, the object specified in the Results Data Set Name setting will get saved in with the model when the model is saved. If No, the object and its slots and data will not get saved and will no longer be present when the model is reloaded. The default is Yes. This setting could change the object’s current configuration if it already exists. |
Results Data Set Slot Group | Text | Specify the name of the slot group on the results data set object in which the results slots will get added. If the slot group does not already exist, it will get created. |
Results Slot Tag | Text | This text string is added to the results slot name, see below. |
Setting | Type | Notes |
|---|---|---|
Which Data Set TO Analyze | Selection | Indicates how the ensemble data set will be specified. Select either “Most Recently Opened” or “Specified by Name”. |
Analysis Data Set Name | Text | If the above selection is 'Specified by Name', then this setting is used to specify the name of the data set. |
Dependent Variable Slot | Slot Selection | Specify the dependent variable for the regression. It must be a scalar slot in the data set. |
How To Specify Independent Variables | Selection | Options are List of Slot Names and RPL Function |
Independent Variable Slots | Slot Selection | When “List of Slot Names” is selected for How to Specify Independent Variables, this setting becomes available to specify one or more independent variables for the regression. The independent variables must be scalar slots in the data set. |
Independent Variables RPL Function | Single Function Selection | If the “RPL Function” option is selected in the How to Specify Independent Variables setting, use the RPL function chooser to select the function. The function must be in an open global functions set at the time of execution, must have no arguments, and must evaluate to a list of scalar slots that are in the data set. |
How To Filter Traces | Selection | How to filter the analysis data by traces. Options in include All Traces, Trace Range, and Include Specific Traces. The resulting number of traces must be at least one more than the number of independent variables. |
First Trace Index | Integer | When “Trace Range” is selected, this setting defines the first trace number of the trace range to be included in the analysis. |
Last Trace Index | Integer | When “Trace Range” is selected, this setting defines the last trace number of the trace range to be included in the analysis. |
Trace Selection | Integer List | When “Include Specific Traces” is selected, this setting defines which traces are included in the analysis. Click in the setting field and open up a trace selector dialog to select which trace numbers should be included. |
How to Handle NaNs | Selection | Options include Ignore NaNs, Error If Any NaNs, Error If All NaNs. If Ignore NaNs is selected, if a NaN is encountered in any variable for a trace, that trace is omitted from the regression. An error will still be issued if the resulting number of traces is not at least one more than the number of independent variables. |
Force Zero Intercept | Yes/No | Specify whether to force the intercept (constant) in the regression to zero. The default is No. When yes is selected, output table slots will still contain a column for the intercept, but the values will be NaN. |
Write Results to Simulation Objects | Yes/No | Yes indicates that the results will get written to an existing non-data set object on the workspace. The default is Yes. |
Results Simulation Object Name | Single Object Selection | Select the object to which results will get written |
Write Results to Data Set | Yes/No | Yes indicates that the results will get written to a results data set object. The default is No. |
Results Data Set Name | Text | The name of the results data set object to which the results will get written. If the object does not exist, it will get created. |
Save Results Data Set With Model | Yes/No | If Yes, the object specified in the Results Data Set Name setting will get saved in with the model when the model is saved. If No, the object and its slots and data will not get saved and will no longer be present when the model is reloaded. The default is Yes. This setting could change the object’s current configuration if it already exists. |
Results Data Set Slot Group | Text | Specify the name of the slot group on the results data set object in which the results slots will get added. If the slot group does not already exist, it will get created. |
Write Results to Simulation Objects | Yes/No | Yes indicates that the results will get written to the same object as the original source slot. The default is Yes. |
Coefficient Estimates Slot Name | Text | Specify the name of the results slot for the primary result of the regression analysis, the regression coefficient estimates. The default name is “Coefficient Estimates.” |
Coefficient Variability Slot Name | Text | Specify the name of the results slot that reports the variability of the regression coefficients: standard error, and lower and upper 95th percentile. The default name is “Coefficient Variability.” |
Coefficient Probabilities Slot Name | Text | Specify the name of the results slot that reports the significance of the regression coefficients: the T-statistic and P-value. The default name is “Coefficient Probabilities.” |
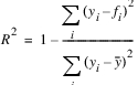
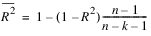
Summary Statistics Slot Name | Text | Specify the name of the results slot that reports general statistics on the regression quality. The default name is “Summary Statistics.” |
Residuals Slot Name | Text | Specify the name of the results slot that reports the residuals from the regression analysis, the difference between the predicted and observed values. The default name is “Residuals.” |



is the mean of the observed values for the dependent variable.

Setting | Type | Notes |
|---|---|---|
MRM Configuration | Text | Enter or choose the name of an MRM configuration defined in the MRM Run Controller |
Number of Runs | Integer | Specify the Number of Runs |
Initial Offset | Integer | Specify the Initial Offset |
Interval | Integer | Specify the Interval |
Setting | Type | Notes |
|---|---|---|
MRM Configuration | Text | Enter or choose the name of an MRM configuration defined in the MRM Run Controller. |
DMI Name | Text | Choose the Input DMI to configure. This should already be selected in the MRM configuration. |
Repeat Count | Integer | Specify the Repeat Count. |
Allow Repeat Count Editing | Yes/No | Yes indicates that users can override the Repeat Count from the dashboard. |
Setting | Type | Notes |
|---|---|---|
MRM Configuration | Text | Enter or choose the name of an MRM configuration defined in the MRM Run Controller. |
Control File | File Chooser | Enter the file path. See Filename Information for details. |
Generate CSV Files | Yes/No | Specify whether or not to generate CSV output |
Generate NetCDF Files | Yes/No | Specify whether or not to generate NetCDF output |
Allow Control File Editing | Yes/No | Specify if you would like the control file to be editable on the dashboard. |
Setting | Type | Notes |
|---|---|---|
MRM Configuration | Text | Enter or choose the name of an MRM configuration defined in the MRM Run Controller. |
First Trace | Integer | Specify the first trace of the range of traces to be simulated. |
Number of Traces | Integer | Specify the number of traces to simulate. |
Allow Number of Traces Editing | Yes/No | Yes indicates that users can override the Number of Traces from the dashboard. |
Setting | Type | Notes |
|---|---|---|
DMI Name | Text | Choose the Input DMI to configure. It must be a Trace Directory DMI. |
Trace Number | Integer | Specify the Trace Number to use if the DMI is executed outside of MRM. |
Allow Trace Number Editing | Yes/No | Yes indicates that users can override the Trace Number from the dashboard. |
Setting | Type | Notes |
|---|---|---|
RDF File Name | Text | Enter the file path. See Filename Information for details. |
Ensemble Data Set Name | Text | The name to give to the data set object on the workspace when it is created |
Save With Model | Yes/No | If Yes, the ensemble data set object created on the workspace by this action will get saved in the model when the model is saved. If No, the object and its slots and data will not get saved and will no longer be present when the model is reloaded. The default is Yes. Ensemble data sets can be very large, so it may not always be desirable to save them with the model. |
Setting | Type | Notes |
|---|---|---|
None |
Setting | Type | Notes |
|---|---|---|
Slots | Slot Selection | Enter or choose one or more slots for which you wish to take a snapshot. |
Snapshot Name | Text | Specify the name of the snapshot object to create. |
Replace Existing Snapshot? | Yes/No | Choose to replace a snapshot of the same name. If No, then a unique name for the snapshot will be created. |
Setting | Type | Notes |
|---|---|---|
Which Ensemble Data Set to Delete | Selection | Indicates how the ensemble data set will be specified. Select either “Most Recently Opened” or “Specified by Name”. |
Ensemble Data Set Name | Text | If the above selection is 'Specified by Name', then this setting is used to specify the name of the data set. |
Data Set Must Exist | Yes/No | Choose whether the Ensemble Data Set must exist or not. If “No” (the default), the set does not need to exist and the action will succeed even if the set doesn’t exists. If “Yes”, an error will be issued if there is no set to delete. |
Setting | Type | Notes |
|---|---|---|
Slot 1 | Slot Selection | This is the slot at one end of the link. |
Slot 2 | Slot Selection | This is the slot at the other end of the link. |
Setting | Type | Notes |
|---|---|---|
None |
Setting | Type | Notes |
|---|---|---|
Divider Color | Color Chooser | Use the color chooser to select the background color for the divider. |
Setting | Type | Notes |
|---|---|---|
Objects | Object Selection | Choose the desired objects using the object selector. |
Enable or Disable? | Enable Dispatching / Disable Dispatching | Specify Enable to enable dispatching. Specify Disable to disable dispatching of those objects. |
Setting | Type | Notes |
|---|---|---|
MRM Configuration | Text | Enter or choose the name of an MRM configuration defined in the MRM Run Controller. |
Enable or Disable? | Enable / Disable | Specify Enable to run in distributed mode. Specify Disable to run the concurrent runs on a single processor. |
Setting | Type | Notes |
|---|---|---|
Set | Single Selection | Choose the set to which the RPL item belongs. |
Item | Single Selection | Use the RPL item chooser to select the item. |
Enable or Disable? | Yes/No | Specify Yes to Enable or No to disable the specified item. |
Setting | Type | Notes |
|---|---|---|
Slots | Slot Selection | Choose the slots using the selector. |
Setting | Type | Notes |
|---|---|---|
DMI Name | Text | Enter the DMI name or choose the DMI using the menu. |

Setting | Type | Notes |
|---|---|---|
MRM Configuration | Text | Enter the name of an MRM configuration you wish to run. |
Allow Distributed MRM | Yes/No | If “Yes” and the MRM configuration is configured to use distributed MRM, the multiple run will be executed via distributed MRM. (See Distributed Concurrent Runs in Solution Approaches) If “Yes” and the MRM configuration is not configured to use distributed MRM, this setting does nothing. If “No” and the MRM configuration is configured to use distributed MRM, an error will be issued. |
Close the distributed MRM interface | Selection | This setting is available when “Yes” is selected for Allow Distributed MRM. The options are Always, Never, and After a successful run. When “Always” is selected, the Distributed MRM Controller will automatically close after the multiple run completes, and the script execution will continue. When “Never” is selected, the Distributed MRM Controller must be closed manually after the multiple run completes before the script execution will advance. When “After a successful run” is selected, when the multiple run completes successfully, it behaves as for the “Always” selection. If the multiple run fails, the Distributed MRM Controller remains open until closed manually. This provides an interface to view the diagnostic messages from the failed distributed run. |

Setting | Type | Notes |
|---|---|---|
None |
Setting | Type | Notes |
|---|---|---|
Script Name | Text | Type the script name or choose the desired single script from the script selector. |
Expand in Dashboard by default | Yes/No | If 'Yes', then the sub-actions will be expanded by default on the Script Dashboard. If ‘No’, the sub-actions on the dashboard will be collapsed. Regardless of the setting, the actions can be collapsed or expanded on the dashboard. |
Setting | Type | Notes |
|---|---|---|
File Name | Text | Enter the file path to create or overwrite. See Filename Information for details. |
DMI Names | Text | Select one or more DMIs using the DMI Selector. |
Include Datasets and Name Maps | Yes/No | Select Yes to also export the Datasets and Name Maps referenced by Database DMI. Select No to export only the Database DMI and not the referenced Datasets and Name Maps. See Export in Data Management Interface (DMI) for more information |
Setting | Type | Notes |
|---|---|---|
File Name | Text | Enter the file path to create or overwrite. See Filename Information for details. |
Objects | Object Selection | Choose the desired objects using the object selector. Note, exporting clusters is not supported within a script. |
Include Links | Yes/No | Yes indicates workspace links between slots will also be exported. |
Include Attributes | Yes/No | Yes indicates object attributes will be exported. |
Include Text Notes | Yes/No | Yes indicates series slot text notes will be exported. |
Include Storage Accounts | Yes/No | Yes indicates storage accounts on specified reservoir objects will be exported. |
Include Diversion Accounts | Yes/No | Yes indicates diversion accounts on the specified objects will be exported. |
Include Instream Flow Accounts | Yes/No | Yes indicates instream flow accounts on specified control points will be exported. |
Include Passthrough Accounts | Yes/No | Yes indicates passthrough accounts on specified objects will be exported. |
Include Supplies | Yes/No | Yes indicates supplies (accounting links) between accounts will be exported. |
Setting | Type | Notes |
|---|---|---|
File Name | Text | Enter the file path to create or overwrite. See Filename Information for details. Optimization restore point files typically use the .orp file extension |
Restore Point Name | Text | Enter the name of the restore point to be exported. The restore point does not need to exist when the setting is configured, but it must exist when the script action is executed. |
Confirm Overwrite? | Yes/No | Yes requires interactive confirmation when exporting the restore point to a preexisting file. |
Setting | Type | Notes |
|---|---|---|
File Name | Text | Enter the file path for the CSV file to create or overwrite. See Filename Information for details. |
Table Slot | Slot Selection | Choose the table slot to export using the selector. |
Setting | Type | Notes |
|---|---|---|
Device Name | Text | Enter or choose the name of a output device (plot, file, report, chart) |
Setting | Type | Notes |
|---|---|---|
Scroll to DateTime | Datetime | See Datetime Information for details. |
Allow Editing | Selection | Yes indicates that users should be allowed to override the start date in the Dashboard. |
Setting | Type | Notes |
|---|---|---|
File Name | Text | Enter the file path to the file containing the exported DMIs. See Filename Information for details. |
Resolve Conflicts | Selection | Select either “Import the DMI items, replacing those in the model” or “Import the DMI items with unique names”. These choices correspond to the Import conflicts with a unique name option described in Import in Data Management Interface (DMI). |
Setting | Type | Notes |
|---|---|---|
File Name | Text | Enter the file path to the file containing the exported objects. See Filename Information for details. |
Import Attributes | Yes/No | Yes indicates object attributes will be imported. |
Import Text Notes | Yes/No | Yes indicates series slot text notes will be imported. |
Object Clusters | Selection | Specify how exported object clusters are imported. There are two choices “Import member objects and cluster configuration” and “Import cluster configuration only”. |
Import Location | Selection | Choose either “Use exported coordinates” or “Near object”. |
Near Object | Object Selection | When the Import Location setting above is “Near object”, select an object. The imported objects will be imported just to the right of the specified object. |
Setting | Type | Notes |
|---|---|---|
File Name | Text | Enter the file path to the file containing the restore point. See Filename Information for details. |
Rename New Restore Point | Yes/No | No indicates that the restore point will be imported with the name that it has in the file, the name it had when exported. Yes allows you to give the restore point a different name on import than it has in the file. |
New Restore Point Name | Text | This setting is available when “Yes” is selected for “Rename New Restore Point.” Enter the desired name to give the restore point on import. |
Name Conflict Strategy | Selection | Choose from three options for how to handle cases that the restore point being imported has the same name as an existing restore point. • Replace the Existing Restore Point - overwrites an the existing restore point with the restore point being imported • Rename the Existing Restore Point - the existing restore point will be given a new name to make it unique, and the restore point being imported will maintain the name from the file (or the name specified in the New Restore Point Name setting) • Treat as an error - the script execution will terminate with an error |
Setting | Type | Notes |
|---|---|---|
Slot 1 | Slot Selection | The first slot to link. Only physical (non-accounting) series slots can be linked. |
Slot 2 | Slot Selection | The second slot to link. Only physical (non-accounting) series slots can be linked. |
Setting | Type | Notes |
|---|---|---|
File name | Text | Enter the file path. See Filename Information for details. |
Confirm Replacement | Yes/No | Yes indicates that if the specified set is already open, a dialog should be presented to confirm replacement of the existing set. |
Show Dialog | Yes/No | When this setting is Yes, the RPL set dialog is shown when the action is executed. Otherwise, the set is loaded into the model, but not shown. |
Setting | Type | Notes |
|---|---|---|
File name | Text | Enter the file path. See Filename Information for details. |
Confirm Replacement | Yes/No | Yes indicates that if the specified set is already open, a dialog should be presented to confirm replacement of the existing set. |
Show Dialog | Yes/No | When this setting is Yes, the RPL set dialog is shown when the action is executed. Otherwise, the set is loaded into the model, but not shown. |
Setting | Type | Notes |
|---|---|---|
Explanation | Multi-line text | Enter the desired text. This will optionally be displayed in the memo dialog and or the Dashboard dialog along with the Display Text. |
Pause Execution | Yes/No | Yes indicates that script execution will pause when the memo is reached. Select the Continue button to resume the Script execution. ![]() |
Show Memo Dialog | Yes/No | Yes indicates that memo execution will open a dialog which presents the memo display and explanation texts. |
Show Explanation in the Dashboard | Yes/No | Yes indicates that the explanation text will be displayed with the display text in the Dashboard. |
Setting | Type | Notes |
|---|---|---|
None |
Setting | Type | Notes |
|---|---|---|
File name | Text | Enter the file path. See Filename Information for details. The file will be opened using the application associated with the file's extension in Windows. For example, temp.xlsx will be opened using Excel. |
Setting | Type | Notes |
|---|---|---|
File name | Text | Enter the file path. See Filename Information for details. |
Confirm Replacement | Yes/No | Yes indicates that if the specified set is already open, a dialog should be presented to confirm replacement of the existing set. |
Show Dialog | Yes/No | When this setting is Yes, the RPL set dialog is shown when the action is executed. Otherwise, the set is opened into the model, but not shown. |
Setting | Type | Notes |
|---|---|---|
Objects | Object Selection | Choose the objects to open. |
Setting | Type | Notes |
|---|---|---|
File Name | Text | Enter the file path. See Filename Information for details. |
Setting | Type | Notes |
|---|---|---|
Slots | Slot Selection | Choose the slots using the selector. |
Setting | Type | Notes |
|---|---|---|
Set | Single Selection | Choose the desired RPL set. |
Confirm Removal | Yes/No | Yes indicates that a dialog should be presented to confirm removal of the set. |
Setting | Type | Notes |
|---|---|---|
Set | Single Selection | Choose the desired RPL set. |
Order Slot | Single Slot Selection | Choose the table slot which specifies the new RPL set ordering. See RPL Reorder Set Action for details. |
Setting | Type | Notes |
|---|---|---|
File name | Text | Enter the file path. See Filename Information for details. |
Confirm Replacement | Yes/No | Yes indicates that a dialog should be presented to confirm replacement of the existing Initialization Rules Set. |
Show Dialog | Yes/No | When this setting is Yes, the RPL set dialog is shown when the action is executed. Otherwise, the set is replaced in the model, but not shown. |
Setting | Type | Notes |
|---|---|---|
File Name | Text | Enter the file path. See Filename Information for details. |
Include Output Values | Yes/No | Yes indicates output values will be saved. |
Output Values Precision | Integer | Indicates the precision to use for output values. |
Confirm Overwrite | Yes/No | Yes requires interactive confirmation when saving the model to a preexisting file. |
Setting | Type | Notes |
|---|---|---|
Account Name | Text | Choose the account using the selector |
Category | Text | Choose the category on the account |
Method | Text | Choose the desired method |
Setting | Type | Notes |
|---|---|---|
Start Date | Datetime | See Datetime Information for details. |
End Date | Datetime | See Datetime Information for details. |
Setting | Type | Notes |
|---|---|---|
Controller | Selection | Choose the controller from the list |
Run From Restore Point? | Yes/No | Available only when the Optimization controller is selected. Yes indicates that the optimization run will use a Restore Point to give the optimization an advanced start (see Restore Point in Optimization for details). |
Restore Point Name | Text | Available only when the Optimization controller is selected. Enter or choose the name of the optimization restore point to use. If the “Run From Restore Point?” setting is “No,” this setting will be ignored. |
Setting | Type | Notes |
|---|---|---|
Dataset | Text | Enter or choose the name of a DSS Dataset or an Excel Dataset defined in the Dataset Manager. |
File Name | Text | Enter or choose the DSS file or Excel workbook. |
Allow File Editing | Selection | Yes means the file can be entered or chosen in the Dashboard. No means that the file cannot be changed in the Dashboard. |
Setting | Type | Notes |
|---|---|---|
Excel Dataset | Text | Enter or choose the name of an Excel Dataset defined in the Dataset Manager. See Excel Datasets in Data Management Interface (DMI) for details on Excel Datasets. |
Run Name Type | Selection | Choose one of the available Run Name Types either: • Single Run Name • Run with MRM Number (i.e. Run0, Run1, ...) • Trace with MRM Trace Number (i.e. Trace1, Trace2,...) |
Single Run Name | Text | This setting is shown when the above setting is set to Single Run Name. Enter a new Single Run Name or choose one from the list; see Run Name Type in Data Management Interface (DMI) for details. In the Script Dashboard you can enter a new Single Run Name or choose one from the same list. |
Setting | Type | Notes |
|---|---|---|
Sim and RBS | Yes/No | Yes = execute initialization rules before each Simulation or Rulebased Simulation run, including those controllers that include Accounting. |
Optimization | Yes/No | Yes = execute initialization rules before an Optimization run. |
Setting | Type | Notes |
|---|---|---|
Object Name | Text | Choose one or more the objects using the selector |
Category | Text | Choose the category on the object. The list shown is for the first object. |
Method | Text | Choose the desired method. If the category or method is not possible on the object, an error will be issued. |
Setting | Type | Notes |
|---|---|---|
MRM Configuration | Text | Enter or choose the name of an MRM configuration defined in the MRM Run Controller |
Keyword | Text | Specify the Keyword. If the Keyword does not exist in the configuration, a new one is created. |
Value | Text | Specify the desired Value to use with the Keyword. |
Setting | Type | Notes |
|---|---|---|
MRM Configuration | Text | Enter or choose the name of an MRM configuration defined in the MRM Run Controller |
Ruleset | Integer | Specify which of the rulesets you wish to change. The default is the first ruleset, 1. |
File Name | Text | Enter the file path. See Filename Information for details. |
Setting | Type | Notes |
|---|---|---|
MRM Configuration | Text | Enter or choose the name of an MRM configuration defined in the MRM Run Controller |
Start Date | Datetime | See Datetime Information for details. |
End Date | Datetime | See Datetime Information for details. |
Allow Start Date Editing | Yes/No | Yes indicates that users should be allowed to override the start date in the Dashboard. |
Allow End Date Editing | Yes/No | Yes indicates that users should be allowed to override the end date in the Dashboard. |
Setting | Type | Notes |
|---|---|---|
Parameter Name | Text | Specify the name of the parameter to set. The name is not case sensitive. If the specified parameter does not match the parameter type, an error will be issued upon execution. |
Parameter Type | Selection | The available options are Integer, Real Number, and Enumeration. The default is Integer. |
Value | Integer | Specify the value to set. When the Parameter Type is Real Number, scientific notation can be used, for example, 1e-4. When the Parameter Type is Enumeration, the value must be a text string that matches one of the options for that parameter (case sensitive). |
Allow Value Editing | Yes/No | When the Parameter Type is Integer, the is setting is available. Yes allows users to override the value in the Dashboard. Dashboard overrides are not available when the Parameter Type is Real Number. |
Setting | Type | Notes |
|---|---|---|
Slots | Slot Selection | Choose the periodic slot using the selector. |
Row | Text | Specify the row as either the row's zero-based integer index or the label for its interval (e.g., “Feb”). |
Column | Text | Specify the column as either the column number (zero based) or column heading |
Set by | Value/Function | This setting indicates how you wish to set the slot, either by specifying values or by a global RPL function. When set to “Value”, the “Value” setting and editing setting, below, are shown. When set to “Function”, the RPL Global Function setting is shown. Note: Only numeric and datetime slots can be set via the “Function” option. |
Value | Value | If the “Value” option is selected in the “Set by” setting, specify the value to set at each timestep specified. This value can remain or be set to NaN. |
Allow Editing | Selection | No indicates that the value can not be changed in the Dashboard, Yes: Editor indicates that it can be changed using a line editor; Yes: Radio Buttons indicate that a set of radio buttons should be presented in the Dashboard to override the value; and Yes: Slider indicates that a slider should be presented to allow changes to the value. |
Minimum Edit Value | Numeric (slot value) | Specify the minimum value that is allowed in the Dashboard (applies to Slider only). |
Maximum Edit Value | Numeric (slot value) | Specify the maximum value that is allowed in the Dashboard (applies to Slider only) |
Encoding Table Slot Name | Slot Selection | The table slot row labels and values establish a textual encoding of values. Applies to Radio Buttons only. See Configuring User Control on the Script Dashboard for details. |
RPL Global Function | RPL function selector | When using the “Function” mode, specify the Global Function to use. Currently, this function must return a Numeric or a Datetime depending on the slot’s unit type. The function is passed the SLOT, row NUMERIC, and column NUMERIC, as arguments. Use these as desired. See Setting Slot Values Using a Global Function for details. |
Setting | Type | Notes |
|---|---|---|
Start Date | Datetime | See Datetime Information for details. |
End Date | Datetime | See Datetime Information for details. |
Allow Start Date Editing | Yes/No | Yes indicates that users should be allowed to override the start date in the Dashboard. |
Allow End Date Editing | Yes/No | Yes indicates that users should be allowed to override the end date in the Dashboard. |

Setting | Type | Notes |
|---|---|---|
Timestep | Selection | Choose from 5 Minute, 15 Minute, 1 Hour, 6 Hour, 12 Hour, 1 Day, 1 Month, or 1 Year. |
Synchronize Objects with New Timestep | Yes/No | Should objects be synchronized to the new timestep? |
Exclude Slots with Timesteps Different Than Original Run | Yes/No | Should slots with a timestep that is different than the original run be synchronized with the new timestep? |
Aggregate Input Data to the New Timestep | Yes/No | When changing to a larger timestep (1 Month or 1 Year), should Input values be aggregated? |
Aggregate NaN Handling | Selection | If aggregating, how should NaN and Output values in input slots be handled? See Synchronize From Run Control in User Interface for details on aggregation. |
Setting | Type | Notes |
|---|---|---|
Slots | Slot Selection | Choose the scalar slots using the selector |
Set by | Value/Function | This setting indicates how you wish to set the slot, either by specifying values or by a global RPL function. When set to “Value”, the “Value” setting and Allow editing setting, below, are shown. When set to “Function”, the RPL Global Function setting is shown. Note: Only numeric or datetime slots can be set via the “Function” option. |
Value | Value | If the “Value” option is selected in the “Set by” setting, specify the value to set at each timestep specified. This value can remain or be set to NaN. |
RPL Global Function | Single Selection | If the “Function” option is selected in the “Set by” setting, use the RPL function chooser to select the function. |
Allow Editing | Selection | No indicates that the value can not be changed in the Dashboard, Yes: Editor indicates that it can be changed using a line editor; Yes: Radio Buttons indicate that a set of radio buttons should be presented in the Dashboard to override the value; and Yes: Slider indicates that a slider should be presented to allow changes to the value. See Configuring User Control on the Script Dashboard for details. |
Minimum Edit Value | Numeric (slot value) | Specify the minimum value that is allowed in the Dashboard (applies to Slider only). |
Maximum Edit Value | Numeric (slot value) | Specify the maximum value that is allowed in the Dashboard (applies to Slider only) |
Encoding Table Slot Name | Slot Selection | The table slot row labels and values establish a textual encoding of values. Applies only to Radio Button display. See Configuring User Control on the Script Dashboard for details. |
Show Current Value | Yes/No | When Allow Editing is Yes, then this setting allows you to show the current value for the scalar slot on the Dashboard. This only works when one scalar slot is specified. |
RPL Global Function | RPL function selector | When using the “Set by:” “Function” mode, specify the Global Function to use. Currently, this function must return a Numeric value or a Datetime. The function is passed the SLOT as an argument. Use these as desired. See Setting Slot Values Using a Global Function for details. |
Setting | Type | Notes |
|---|---|---|
Slots | Slot Selection | Enter or choose one or more series slots. The flags in these slots will be set to the specified value. |
Column | Value or Text | For multi-column series slots, specify the column as either the column number (zero based) or column heading. If not specified, the first column is used. |
Start Date | Datetime | The first timestep for which you wish to set the flag. See Datetime Information for details. |
End Date | Datetime | The last timestep for which you wish to set the flag.See Datetime Information for details. |
Allow Start Date Editing | Yes/No | Yes indicates that users should be allowed to override the start date in the Dashboard. |
Allow End Date Editing | Yes/No | Yes indicates that users should be allowed to override the end date in the Dashboard. |
Flag | Selection | The flag to set on each value in the range. |
Setting | Type | Notes |
|---|---|---|
Slots | Slot Selection | Enter or choose one or more series slots with periodic input. Any other type of slot will issue an error when the script is run. |
Input Mode | Series/Periodic | Choose either series or periodic mode. |
Confirm Input Overwrite? | Yes/No | When switching from series mode to periodic mode, it is possible that the input values do not match the periodic values and the series would be overwritten by the periodic values. If this setting is Yes, a confirmation is posted (like in interactive mode) and you can choose to overwrite or skip. If No, the values will be overwritten. |
Setting | Type | Notes |
|---|---|---|
Slots | Slot Selection | The series slots with periodic input whose periodic input value will be set. |
Row | Value or Text | The row of the table of periodic input whose value is to be set. Use either the row's zero-based integer index or the label for its interval (e.g., “Feb”). |
Set by | Value/Function | This setting indicates how you wish to set the slot, either by specifying values or by a global RPL function. When set to “Value”, the “Value” setting and allow editing setting, below, are shown. When set to “Function”, the RPL Global Function setting is shown. |
Value | Value | If the “Value” option is selected in the “Set by” setting, specify the value to set. This value can remain or be set to NaN. |
RPL Global Function | RPL function selector | When using the “Function” mode, specify the Global Function to use. Currently, this function must return a Numeric or a Datetime depending on the slot’s unit type. The function is passed the SLOT and row NUMERIC as arguments. Use these as desired. See Setting Slot Values Using a Global Function for details. |
Allow Editing | Selection | No indicates that the value can not be changed in the Dashboard, Yes: Editor indicates that it can be changed using a line editor; Yes: Radio Buttons indicate that a set of radio buttons should be presented in the Dashboard to override the value; and Yes: Slider indicates that a slider should be presented to allow changes to the value. |
Minimum Edit Value | Numeric (slot value) | Specify the minimum value that is allowed in the Dashboard (applies to Slider only). |
Maximum Edit Value | Numeric (slot value) | Specify the maximum value that is allowed in the Dashboard (applies to Slider only). |
Encoding Table Slot Name | Slot Selection | The table slot row labels and values establish a textual encoding of values. Applies to Radio Buttons only. See Configuring User Control on the Script Dashboard for details. |
Setting | Type | Notes |
|---|---|---|
Slots | Slot Selection | Choose the series slot using the selector |
Set by | Value/Function | This setting indicates how you wish to set the slot, either by specifying values or by a global RPL function. When set to “Value”, the “Value” setting and editing setting, below, are shown. When set to “Function”, the RPL Global Function setting is shown. Note: Only numeric or datetime slots can be set via the “Function” option. |
Column | Value or Text | For multi-column series slots, specify the column as either the column number (zero based) or column heading. If not specified, the first column is used. |
Value | Value | If the “Value” option is selected in the “Set by” setting, specify the value to set at each timestep specified. This value can remain or be set to NaN. |
Start Date | Datetime | See Datetime Information for details. |
End Date | Datetime | See Datetime Information for details. |
Allow Editing | Selection | No indicates that the value can not be changed in the Dashboard, Yes: Editor indicates that it can be changed using a line editor; Yes: Radio Buttons indicate that a set of radio buttons should be presented in the Dashboard to override the value; and Yes: Slider indicates that a slider should be presented to allow changes to the value. |
Allow Start Date Editing | Yes/No | Yes indicates that users should be allowed to override the start date in the Dashboard. |
Allow End Date Editing | Yes/No | Yes indicates that users should be allowed to override the end date in the Dashboard. |
Minimum Edit Value | Numeric (slot value) | Specify the minimum value that is allowed in the Dashboard (applies to Slider only). |
Maximum Edit Value | Numeric (slot value) | Specify the maximum value that is allowed in the Dashboard (applies to Slider only). |
Encoding Table Slot Name | Slot Selection | The table slot row labels and values establish a textual encoding of values. Applies to Radio Buttons only. See Configuring User Control on the Script Dashboard for details. |
RPL Global Function | RPL function selector | When using the “Function” mode, specify the Global Function to use. Currently, this function must return a Numeric or a Datetime depending on the slot’s unit type. The function is passed the SLOT and DATETIME as arguments. Use these as desired. See Setting Slot Values Using a Global Function for details. |
Setting | Type | Notes |
|---|---|---|
Slots | Slot Selection | Choose the table slot or periodic slot using the selector. Although this action will set periodic slots, see also Set Periodic Slot Value. |
Row | Text | Specify the row as either the row number (zero based) or the row heading. For Periodic slots, use either the row's zero-based integer index or the label for its interval (e.g., “Feb”). |
Column | Text | Specify the column as either the column number (zero based) or column heading |
Set by | Value/Function | This setting indicates how you wish to set the slot, either by specifying values or by a global RPL function. When set to “Value”, the “Value” setting and editing setting, below, are shown. When set to “Function”, the RPL Global Function setting is shown. Note: Only numeric and datetime slots can be set via the “Function” option. |
Value | Value | If the “Value” option is selected in the “Set by” setting, specify the value to set at each timestep specified. This value can remain or be set to NaN. |
Allow Editing | Selection | No indicates that the value can not be changed in the Dashboard, Yes: Editor indicates that it can be changed using a line editor; Yes: Radio Buttons indicate that a set of radio buttons should be presented in the Dashboard to override the value; and Yes: Slider indicates that a slider should be presented to allow changes to the value. |
Minimum Edit Value | Numeric (slot value) | Specify the minimum value that is allowed in the Dashboard (applies to Slider only). |
Maximum Edit Value | Numeric (slot value) | Specify the maximum value that is allowed in the Dashboard (applies to Slider only) |
Encoding Table Slot Name | Slot Selection | The table slot row labels and values establish a textual encoding of values. Applies to Radio Buttons only. See Configuring User Control on the Script Dashboard for details. |
RPL Global Function | RPL function selector | When using the “Function” mode, specify the Global Function to use. Currently, this function must return a Numeric or a Datetime depending on the slot’s unit type. The function is passed the SLOT, row NUMERIC, and column NUMERIC, as arguments. Use these as desired. See Setting Slot Values Using a Global Function for details. |
Setting | Type | Notes |
|---|---|---|
Objects to Synchronize | Object Selection | Use the selector to choose the desired objects. |
Exclude Slots with Non-run Timestep | Yes/No | Yes indicates that slots with different timesteps will be excluded from the synchronize action. |
Start Date | Datetime | See Datetime Information for details. |
End Date | Datetime | See Datetime Information for details. |
Allow Start Date Editing | Yes/No | Yes indicates that users should be allowed to override the start date in the Dashboard. |
Allow End Date Editing | Yes/No | Yes indicates that users should be allowed to override the end date in the Dashboard. |
Setting | Type | Notes |
|---|---|---|
Slots to Synchronize | Slot Selection | Use the selector to choose the desired slots. |
Start Date | Datetime | See Datetime Information for details. |
End Date | Datetime | See Datetime Information for details. |
Use Run Timestep | Yes/No | Yes indicates that the slot’s timestep size will match the timestep on the run control at the time of script execution. |
Timestep | Selection | When Use Run Timestep is “No” this setting specifies the timestep size that the slot will have. |
Allow Start Date Editing | Yes/No | Yes indicates that users should be allowed to override the start date in the Dashboard. |
Allow End Date Editing | Yes/No | Yes indicates that users should be allowed to override the end date in the Dashboard. |