Depth to Flow
This category is only available for the hydraulic routing methods: Kinematic, Muskingum-Cunge, Muskingum-Cunge Improved, and MacCormack routing. The methods in this category control how flow is translated into velocity, depth, area, top width and celerity for use in the Routing methods.
None
This method is the default for this category. It will result in an error if it is selected and a run is started.
Manning Trapezoid
This method models the channel geometry as a trapezoid.
Slots Specific to This Method
Bottom Width
Type: Scalar
Units: LENGTH
Description: width of the bottom of the channel
Information:
I/O: Required input
Links: Not linkable
Energy Slope
Type: Scalar
Units: NO UNITS
Description: Slope of the reach from upstream to downstream (vertical/horizontal)
Information: Must be positive
I/O: Required input
Links: Not linkable
Mannings Roughness n
Type: Scalar
Units: NO UNITS
Description: Manning’s roughness n, empirical representation of the roughness of the channel
Information:
I/O: Required input
Links: Not linkable
Side Slope
Type: Scalar
Units: NO UNITS
Description: Slope of the sides of the channel, S:1 (horizontal:vertical)
Information:
I/O: Required input
Links: Not linkable
This method uses Newtons method to find a depth corresponding to a given flow. See any open-channel flow book for the equations relating flow and depth to the rest of the parameters for a trapezoidal channel. This method does not produce any output directly, rather the Routing method sets some output slots based on the results of this method.
Manning Wide Rectangle
This method models the channel as a wide rectangle.
Slots Specific to This Method
Bottom Width
Type: Scalar
Units: LENGTH
Description: width of the bottom of the channel
Information:
I/O: Required input
Links: Not linkable
Energy Slope
Type: Scalar
Units: NO UNITS
Description: Slope of the reach from upstream to downstream (vertical/horizontal)
Information: Must be positive
I/O: Required input
Links: Not linkable
Mannings Roughness n
Type: Scalar
Units: NO UNITS
Description: Manning’s roughness n, empirical representation of the roughness of the channel
Information:
I/O: Required input
Links: Not linkable
Method Details
This is the simplest geometry to model. This method assumes that channel depth is negligible relative to channel width, and thus top width and the wetted perimeter are assumed to be equal to the bottom width. This method does not produce any output directly, rather the Routing method sets some output slots based on the flow parameter values calculated by this method.
If flow is zero, then all flow parameter values are zero. Otherwise the following values are calculated:
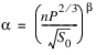
First the flow parameters

and

are set (see, for example, Chow et. al., 1988, p. 283).
where n is the Manning’s roughness coefficient, P is the wetted perimeter (here equal to the bottom width), and S0 is the energy slope.
where Q is the flow value passed in from the Routing method calling this method.
Power Function
This method models the channel geometry as separate functions relating flow to area, area to depth, and flow to top width. Velocity and celerity are derived from the values of these functions.
Note: The exponential calculations are carried out in RiverWare internal units. Flow is in cms, lengths are in m, areas are in m2, and velocity is in m/s. The values set in the Beta parameter slots, as set by the user, must be consistent with these units.
Slots Specific to This Method
Alpha for Area to Flow
Type: Scalar
Units: NO UNITS
Description: coefficient in area/flow conversion
Information:
I/O: Required input
Links: Not linkable
Alpha for Depth to Area
Type: Scalar
Units: NO UNITS
Description: coefficient in depth/area conversion
Information:
I/O: Required input
Links: Not linkable
Alpha for Top Width to Flow
Type: Scalar
Units: NO UNITS
Description: coefficient in topwidth/flow conversion
Information:
I/O: Required input
Links: Not linkable
Beta for Area to Flow
Type: Scalar
Units: NO UNITS
Description: exponent in area/flow conversion
Information: The value in this slot must correspond to flow in cms and area in m2.
I/O: Required input
Links: Not linkable
Beta for Depth to Area
Type: Scalar
Units: NO UNITS
Description: exponent in depth/area conversion
Information: The value in this slot must correspond to flow in area in m2 and depth in m.
I/O: Required input
Links: Not linkable
Beta for Top Width to Flow
Type: Scalar
Units: NO UNITS
Description: exponent in topwidth/flow conversion
Information: The value in this slot must correspond to flow in cms and TopWidth in m.
I/O: Required input
Links: Not linkable
Method Details
The equations involved in this method are as follows:
All of the calculations are carried out in RiverWare internal units (SI units), and parameter values (with no units) should be set accordingly.