Routing Parameters
This method category is dependent upon the selection of Muskingum outing in the Routing category. It enables you to specify either the Muskingum K and X values or the C0, C1 and C2 coefficients. There is also the option of providing this data as a times series.
None
This is the default method. It performs no calculations. An error is posted in the beginning of the run if this method is selected.
Input K and X Values
This method is used to specify constant Muskingum K and X values.
Slots Specific to This Method
MuskingumCoefficientK
Type: Scalar Slot
Units: TIME
Description: lag time of the centroid of a flood wave
Information:
I/O: Required input
Links: Not linkable
MuskingumCoefficientX
Type: Scalar Slot
Units: NONE
Description: attenuation factor
Information:
I/O: Required input
Links: Not linkable
Method Details
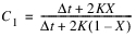
The Muskingum Coefficient K and Muskingum Coefficient X are used to calculated the C0, C1 and C2 coefficients by the following equations:
where

t is the simulation timestep, K[Time] and X[no units] are the Muskingum coefficients.
Input Coefficients
This method is used to input the characteristic Muskingum coefficients directly. The coefficients are not allowed to vary with time.
The values in the C0, C1, C2 Coefficients slot are used directly in the Muskingum routing calculations.
Slots Specific to This Method
C0 C1 C2 Coefficients
Type: Table
Units: NOUNITS
Description: a table containing the three characteristic Muskingum coefficients
Information: A value for each coefficient is given in the first three columns of the table.
I/O: Required input
Links: Not linkable
Input Time Series K and X
This method is used to specify time variable data for K and X.
Slots Specific to This Method
Muskingum K Time Series
Type: Series
Units: TIME
Description: lag time of the centroid of a flood wave
Information:
I/O: Required input
Links: Not linkable
Muskingum X Time Series
Type: Series
Units: NONE
Description: attenuation factor
Information:
I/O: Required input
Links: Not linkable
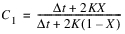
Method Details
The K value and X value are used to calculate the C0, C1, C2 coefficients by the following equations:
where

t is the simulation timestep, K[Time] and X[no units] are the Muskingum coefficients.
Input Time Series Coefficients
This method is used to specify the characteristic Muskingum coefficients as a time series.
The C0, C1, C2 values are used directly in the Muskingum routing calculations.
Slots Specific to This Method
C0 Time Series
Type: Series
Units: NOUNITS
Description: a time series range of C0 values
Information:
I/O: Required input
Links: Not linkable
C1 Time Series
Type: Series
Units: NOUNITS
Description: a time series range of C1 values
Information:
I/O: Required input
Links: Not linkable
C2 Time Series
Type: Series
Units: NOUNITS
Description: a time series range of C2 values
Information:
I/O: Required input
Links: Not linkable