skip to main content
Tandem Balancing
This category appears only if the Operating Level Balancing method is selected in the Flood Control category.
There may be many ways to balance reservoirs that are in tandem (one downstream from another). This category is a placeholder for alternative methods for doing this.
* None
If selected, no special action is taken to balance tandem reservoirs. Any downstream tandem may serve to store water released from above on any pass, but only up to the lower of the tandem’s assigned balance level (Balance Level) and the balance level of the pass.
Note:  The downstream reservoir can only store water if there is zero Surcharge Release.
There are no slots specific to this method.
* Two-Reservoir Midpoint
This is the default method.
If selected, a downstream tandem may store water as above (None) and possibly a little more: it will find the midpoint of the forecast operating levels of the two reservoirs, and store the amount of water that will both bring the upstream reservoir to that midpoint and bring the downstream reservoir to that midpoint. Later in the algorithm, such stored water may be drained.
Note:  The downstream reservoir can only store water if there is zero Surcharge Release.
There are no slots specific to this method.
Method Details  
Starting storages for two-reservoir balancing are as follows.
• Upstream reservoir: the original forecast storage at the end of the balance period plus tandem storage scheduled here from upstream (through either the end of the forecast period or the end of the balance period, depending on the Tandem Storage Considered method selection, q.v.) minus the volume already scheduled to be stored in intervening reservoirs.
• Downstream tandem reservoir: the original forecast storage at the end of the balance period plus tandem storage scheduled here from other upstream reservoirs (through either the end of the forecast period or the end of the balance period, subject to the Tandem Storage Considered method selection, q.v.) minus the volume released on the first timestep by any proposed flood control release from a prior pass, with a floor of the storage equivalent to the lesser of the balance level of the pass and the assigned balance level. (This method is not invoked until the flood pool has already been filled to this floor level.)
The method is invoked at most once for each {upstream, tandem} pair in any pass of the algorithm, and then only after the tandem’s conservation pool is filled and its flood pool is filled up to the smaller of the pass balance level and the assigned balance level of the tandem reservoir. Once invoked, this method computes a balance level B (between the balance levels for the starting storages) and volume V such that moving volume V from the upstream reservoir to the tandem will leave them both at level B. The return value of the method is the volume V, and the flood control algorithm is free to move up to V from the upstream to the downstream reservoir. By this means, and only by this means, will a downstream reservoir be filled above the balance level of a pass on that pass, or above its assigned balance level on any pass.
If the downstream reservoir’s projected balance level is higher than that of the upstream reservoir (based on the starting volumes as described above), the return value will be 0.0 (no additional tandem storage).
The details of the algorithm for finding the volume V are as follows:
The method is looking for a point of intersection between two lines:
Line 1 is the line X=Y.
Line 2 is the line between two points P1 and P2.
Each point P(J) represents what it would take to bring the full reservoir down to level J and the tandem up to level J.
P(J) = (volume that the full reservoir contains above level J, volume that can be stored in the tandem to take it to level J).
The method finds the balance level J such that P(J) is on the line X=Y. This is done in two steps: find points P1 and P2 where P1 is in the lower half of the space defined by the line X=Y and P2 is in the upper half. Then the method finds the point of intersection between the line (P1,P2) and the line X=Y.
1. Find points P1 and P2. Start with
x1=the volume that the full reservoir contains above the tandem’s balance level, and
y1=0
This point (x1,y1) represents bringing the full reservoir to the tandem’s level and storing nothing in the tandem. Clearly this point is in the region where x > y.
2. Now find a point P(J) for some J that falls in the upper half of the graph defined by X=Y, that is, where x <= y:
Start with J = tandem’s balance level + 1.
P(J) = (volume that the full reservoir contains above level J, volume that can be stored in the tandem to take it to level J).
If x <= y, then P(J) falls in the upper half of the plane and P2 is P(J). If not, set P1 = P(J) and increment J by 1, and recompute P(J) until a P(J) is found that is in the upper half of the graph. This is P2.
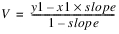
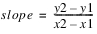
3. Now that we have a J such that x <= y, we find the point of intersection between P1 and P2. Compute the slope of the line between P1 = (x1,y1) and P2=(x2,y2):
    
The volume V to release is:
    
Invoking this method on one pair of reservoirs changes the state of the downstream reservoir, and subsequent invocation with a different upstream reservoir may change it yet again. Repeated invocations over several passes tends to bring the collected upstream reservoirs in balance with the tandem, thus, to some extent, with each other.
Revised: 12/01/2025